会員登録
Web
サイト内
ホーム
|
ニュース
|
中日交流
|
エンタメ
|
中国語教室
|
芸術文化
|
観光
|
ギャラリー
|
ネットラジオ
|
ネットテレビ
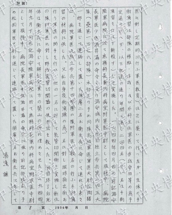
湯浅謙
2015-08-13 13:37:00 cri
1
2
3
4
5
6
7
8
関連ニュース
写真トピックス
コメント
今週の番組
コーナー選択
•
番組表と周波数
•
番組表と周波数
•
お問い合わせ
今日熱点
快楽学唱中文歌
【怡康アナin山梨】8月30日・また逢う日まで
More>>
我们的明天
作词、作曲:于京乐团
演唱:鹿晗
这首歌
这首歌
作詞:林夕 作曲:蕭敬騰 歌:蕭敬騰
More>>
特集ダイジェスト
2018 全人代・政協
読むCRI『かけはし』絶賛ダウンロード中!2017年冬・新春号
2018年 さくら便り
2018年 春節快楽
2018狗年春節
More>>
暮らし
旅行・文化
エンタメ
国際・交流
バイリンガル教室
映像中国
LINKS
404 Not Found
404 Not Found
nginx
© China Radio International.CRI. All Rights Reserved.
16A Shijingshan Road, Beijing, China. 100040